Wycena akcji to kluczowa kwestia przy inwestowaniu. Ten proces określa bieżącą (lub przewidywaną) wartość akcji w danym okresie czasu.
Podejmując decyzję o wyborze metody wyceny akcji, możemy czuć się przytłoczeni liczbą technik wyceny dostępnych dla inwestorów. Istnieją metody wyceny, które są dość proste, podczas gdy inne są bardziej zaangażowane i skomplikowane.
Istnieją 2 główne sposoby wyceny akcji: wycena bezwzględna i względna.
Wycena bezwzględna jest metodą obliczania bieżącej wartości przedsiębiorstw poprzez prognozowanie ich przyszłych strumieni dochodów.
Wycena względna jest metodą, która porównuje wartość akcji (c wk) z wartością jej konkurentów i rówieśników w tej samej branży, aby ocenić wartość akcji.
Nie ma jednej metody, która byłaby najlepsza w każdej sytuacji.
Każda akcja jest inna, a każda branża lub sektor ma unikalne cechy, które mogą wymagać zastosowania wielu metod wyceny. W tym artykule omówimy najbardziej powszechne metody wyceny i dowiemy się, kiedy należy je stosować.
Chcesz zainwestować w swoje pierwsze akcje?
W dalszej części artykułu dowiesz się również jaką platformę inwestycyjną wybrać.
Jak sprawdzić aktualne kursy cen akcji w pięciu szybkich krokach
- Wybierz najlepszą darmową platformę: eToro.
- Załóż konto.
- Dokonaj pierwszej wpłaty.
- Znajdź wybrane pozycje na liście aktywów.
- Sprawdź aktualny kurs.
78% kont inwestorów detalicznych odnotowuje straty pieniężne podczas handlu CFD z tym dostawcą.
Twój kapitał jest zagrożony. Obowiązują inne opłaty. Aby uzyskać więcej informacji, odwiedź etoro.com/trading/fees.
Rekomendowane:
[stocks_table id=”3379″][side_by_side_comparison id=”3380″ type=”Stocks”]Gdzie sprawdzić aktualne kursy cen akcji
Przetestowaliśmy najlepsze platformy do online do handlu akcjami.
Zapoznaj się z naszą oceną poniżej.
1 eToro – kupuj kontrakty CFD i prawdziwe akcje

eToro to znana na całym świecie platforma do inwestycji społecznościowych.
Miliony traderów korzysta z platformy każdego dnia. Posiada również aplikację mobilną.
Można na niej handlować zarówno prawdziwymi akcjami i funduszami ETF, walutami, jak i kontraktami na różnice kursowe (CFD).
- Licencjonowany broker z ochroną depozytu;
- Inwestuj w akcje z 0% prowizji za zlecenie i zarządzanie;
- Nie ma ograniczeń co do wolumenu inwestycyjnego;
- Obsługa klienta w języku polskim;
- Dostępna płatność przez Paypal;
- Twoje środki są przechowywane na bezpiecznych rachunkach w renomowanych bankach;
Konto Demo.
Przeczytaj pełną recenzję eToro!
78% kont inwestorów detalicznych odnotowuje straty pieniężne podczas handlu CFD z tym dostawcą.
Twój kapitał jest zagrożony. Obowiązują inne opłaty. Aby uzyskać więcej informacji, odwiedź etoro.com/trading/fees.
2. XTB

XTB jest polskim brokerem, który działa na rynku już niemal od dwóch dekad. Ponadto przestrzega przepisów ustanowionych przez Komisję Nadzoru Finansowego oraz inne ważne organy regulacyjne. Szeroka oferta obejmuje kontrakty CFD na akcje, waluty, kryptowaluty, towary czy aktywa na rynku forex.
XTB zapewnia dostęp do zaawansowanej platformy xStation 5, która łączy intuicyjną obsługę i zaawansowane funkcje analityczne. W dodatku broker oferuje dostęp do konta demo i materiałów edukacyjnych. Natomiast doświadczeni traderzy docenią np. opcję handlu z dźwignią.
Broker nie ustalił kwoty minimalnego depozytu. Ponadto akceptuje różne formy płatności, w tym karty debetowe i kredytowe, e-portfele czy przelewy bankowe. Natomiast dział obsługi klienta pracuje przez 24 godziny na dobę i 5 dni w tygodniu.
Zalety:
- Renomowany broker z długą tradycją na rynku;
- Szeroka oferta instrumentów inwestycyjnych;
- Zaawansowana platforma xStation 5;
- Konto demo i materiały edukacyjne;
- Wiele metod płatności.
78% kont inwestorów detalicznych odnotowuje straty pieniężne podczas handlu CFD z tym dostawcą.
Twój kapitał jest zagrożony. Obowiązują inne opłaty.
3. Pepperstone

Australijski broker Pepperstone oferuje dostęp do ponad 1200 instrumentów finansowych. Wśród nich znajdziesz CFD na akcje, kryptowaluty, towary, waluty czy aktywa na rynku forex. W dodatku broker działa zgodnie ze standardami regulacyjnymi ASIC, FCA, DFSA oraz innych ważnych instytucji.
Pepperstone wyróżnia się niskimi spreadami i prowizjami. Ponadto oferuje handel na wielu platformach, w tym MT4 i MT5. Jakby tego było mało, oferuje konto demo i dostęp do materiałów edukacyjnych. Natomiast doświadczeni traderzy biorą udział w programie lojalnościowym ze zniżkami na opłaty.
Broker akceptuje różne formy płatności, w tym karty debetowe i kredytowe, e-portfele czy przelewy bankowe. W razie pytań lub problemów technicznych możesz liczyć na wsparcie działu obsługi klienta przez 24 godziny na dobę i 5 dni w tygodniu.
Zalety:
- Bezpieczny i regulowany broker;
- Szeroka oferta instrumentów inwestycyjnych;
- Dostęp do różnych platform handlowych;
- Konto demo i materiały edukacyjne;
- Różne formy płatności.
78% kont inwestorów detalicznych odnotowuje straty pieniężne podczas handlu CFD z tym dostawcą.
Twój kapitał jest zagrożony. Obowiązują inne opłaty.
4. Libertex – kupuj akcje bezpiecznie

Libertex to platforma z łatwym i przyjaznym interfejsem.
Możemy go polecić zarówno dla początkujących jak i zaawansowanych traderów. To broker z wieloletnim doświadczeniem – na rynku już 20 lat.
Możesz kupować i sprzedawać akcje, indexy, kontrakty CFD, waluty i towary.
Broker oferuje ponad 250 instrumentów do handlu. Posiada także zaawansowane narzędzia do zarządzania ryzykiem.
- Miliony użytkowników w 110 krajach;
- W pełni regulowany broker;
- Kupuj akcje, indeksy, kontrakty CFD, waluty i towary;
- Przyjazna dla użytkownika platforma na urządzenia mobilne i stacjonarne;
- Bezpieczeństwo danych wrażliwych;
Metody wyceny akcji
Chcąc zgłębić tajniki metod wyceny akcji, należy w pierwszej kolejności określić, jakim są rodzajem instrumentów finansowych.
Akcje są papierami wartościowymi oznaczającymi prawa ich posiadaczy do współwłasności firmy, która je wyemitowała, czyli spółki akcyjnej.
Oznacza to, że, akcja jest częścią kapitału spółki.
Osoba posiadająca akcje spółki akcyjnej staje się udziałowcem spółki, czyli akcjonariuszem, który poniekąd jest współwłaścicielem wszystkiego, co składa się na majątek spółki (nieruchomości, maszyny itp.).
Akcjonariusz z tytułu posiadania akcji ma prawo do:
- udziału w walnym zgromadzeniu akcjonariuszy i prawo do głosowania (akcjonariusz poprzez głosowanie może decydować o kierunku rozwoju spółki),
- uczestniczenia w podziale wypracowanego rocznego zysku przez spółkę,
- poboru nowej emisji akcji jest to przywilej przysługujący akcjonariuszom posiadającym już akcje,
- uczestnictwa w podziale majątku w przypadku jego likwidacji.
Można wyróżnić dwa podstawowe rodzaje akcji: imienne oraz na okaziciela.
Zasadnicza różnica dotyczy obrotu tymi akcjami.

Akcje imienne mogą być akcjami uprzywilejowanymi, na przykład co do prawa głosu (2 głosy – 1 akcja), dywidendy.
Jednym z elementów analizy fundamentalnej, a zarazem najważniejszym jest właśnie wycena akcji. Przy podejmowaniu decyzji inwestycyjnych inwestor powinien wiedzieć, czy spółka, w którą chce zainwestować nie jest spółką niedocenianą przez rynek bądź przewartościowaną.
Za pomocą wyceny może oszacować ryzyko, które ponosi przy inwestycji.
Wyróżnić można 4 podejścia wyceny akcji:
- Podejście księgowe
- Podejście likwidacyjne
- Podejście mnożnikowe
- Podejście dochodowe
Podejście księgowe, inaczej nazywane metodą wartości aktywów netto, polega na oszacowaniu wartości spółki przypadającą na jedną akcję poprzez pomniejszenie wartości aktywów o zobowiązania spółki, a następnie podzieleniu wyniku przez ilość akcji wyemitowanych.
Metoda ta jest rzadko stosowana ze względu na brak uwzględnienia realiów rynkowych oraz perspektyw rozwojowych.
Podejście likwidacyjne polega na określeniu wartości przychodów z tytułu sprzedaży aktywów w momencie likwidacji spółki.
Metodę tę stosuje się w przypadku likwidacji spółki oraz łączenia się z inną spółką.
Podejście mnożnikowe, inaczej nazywane porównawcze lub wskaźnikowe, polega na wycenie spółki na podstawie akcji innych firm podobnych do danej spółki.
Zazwyczaj porównaniu podlegają spółki tego samego obszaru działalności (sektora).
Najczęstszymi wskaźnikami stosowanymi w tej metodzie są ceny:
- zysku
- wartości księgowej
- sprzedaży
Ostatnim omawianym podejściem będzie model dochodowy. Wyceny dokonuje się za pomocą metody zdyskontowanych przepływów pieniężnych.
78% kont inwestorów detalicznych odnotowuje straty pieniężne podczas handlu CFD z tym dostawcą.
Twój kapitał jest zagrożony. Obowiązują inne opłaty. Aby uzyskać więcej informacji, odwiedź etoro.com/trading/fees.
Wyróżniamy tutaj dwa modele wyceny:
– Model zdyskontowanych dywidend
– Model zdyskontowanych wolnych przepływów pieniężnych
a) FCFE
b) FCFF
W analizie przedstawiono dwa ostatnie podejścia stosowane przez inwestorów oraz analityków giełdowych ze względu na ich powszechność, oraz praktyczność.
Analiza wskaźnikowa ze względu na swoją prostotę jest najczęściej stosowana przez inwestorów. W celu zobrazowania tej wyceny do swojej analizy użyto wyżej wspomnianych mierników.
Pierwszym jest wskaźnik cena/ zysk.
By dokonać jego obliczenia, należy zastosować następujący wzór:

Jak widać, w celu otrzymania wskaźnika należy podzielić wartość jednej akcji przez zysk przypadający na jedną akcję ( iloraz zysku netto i ilości akcji wyemitowanych przez spółkę).
Kolejnym wskaźnikiem jest cena do wartości księgowej spółki.
Do obliczeń, podobnie jak w poprzednim przypadku potrzebujemy ceny jednej akcji oraz wartości księgowej (aktywa – zobowiązania), przypadającej na jedną akcję firmy, gdzie wartość tę otrzymujemy poprzez podzielenie wartości księgowej przez ilość akcji spółki.

Ostatnim wskaźnikiem jest cena/sprzedaż netto.
Aby uzyskać ten miernik, należy posiadać dane o sprzedaży przypadającej na jedną akcję (iloraz przychodów ze sprzedaży i ilości wyemitowanych akcji), oraz wartość jednej akcji.

Wszystkie informacje na temat wartości księgowej, zysku netto oraz sprzedaży zawierają roczne sprawozdania finansowe sporządzane przez spółki.
W celu prognoz wskaźników można korzystać z raportów kwartalnych firm. Oprócz wyżej wymienionych istnieje wiele innych rodzajów wskaźników, które mogą przybliżyć sytuację finansową spółki.
W tabeli nr 1. przedstawione zostały wartości omawianych wskaźników dla poszczególnych spółek notowanych na GPW z sektora energetycznego.
Tą metodą została wyceniona spółka PGE S.A.
Do analizy użyto historycznych danych jednostkowych raportów rocznych, ponieważ najlepiej odzwierciedlają wyniki z głównej działalności spółki.
Sposób obliczenia tych wartości przedstawiono na przykładzie spółki Polish Energy Partners.
Tabela 1. Wskaźniki wyceny wartości spółek z sektora energetycznego na podstawie danych z raportów rocznych.
| Spółki/Wskaźniki | Cena jednej akcji 3 stycznia 2011r. | Cena/Zysk | Cena/Wartość księgowa | Cena/Sprzedaż netto |
| PEP | 33,53 | 13,64 | 2,44 | 8,8 |
| ENEA | 23,1 | 28 | 1,02 | 1,62 |
| CEZ | 118,42 | 1,8 | 0,34 | 0,58 |
| Średnia: | 14,48 | 1,27 | 3,66 | |
| PGE | 22,56 | 14,44 | 1,48 | 3,62 |
| – | + | – |

Powyższe badanie pokazało, że spółka PGE w konkretnym dniu według wskaźników była właściwie wyceniona na tle innych spółek działających w podobnej branży.
Przejdziemy teraz do trochę bardziej skomplikowanej wyceny wartości akcji za pomocą podejścia dochodowego.
Pierwszy poddany analizie i opisowi zostanie model zdyskontowanych dywidend.
Model ten jest jednym z najstarszych i najczęściej stosowanym przy wycenie akcji.
Oczywiste jest, że aby stosować ten rodzaj wyceny, spółka musi dokonywać regularnych wypłat dywidendy, oraz że polityka dywidendowa musi wiązać się z wielkością zysku spółki.
Model ten kierowany jest do mniejszościowych akcjonariuszy, ponieważ w odwrotnym przypadku, czyli w przypadku, kiedy wyceny dokonuje osoba posiadająca kontrolę nad spółką, to decyzja o wypłacie części zysku jest podejmowana przez nią samą, a więc polityka dywidendowa nie ma znaczenia dla wyceny.
Wyróżniamy następujące modele zdyskontowanych dywidend:
- stałej wartości dywidendy
- model Gordona
- dwuetapowy
- metoda H
- trójetapowy
Model stałej wartości dywidendy, jak nazwa wskazuje, zakłada, że dywidenda będzie wypłacana przez cały czas w takiej samej wysokości.

Sytuacje wynikającego z tego modelu spotyka się bardzo rzadko.
Kolejną metodą jest model Gordona, który jest jednym z łatwiejszych i często stosowanym. Zakłada on, że stopa wzrostu dywidendy będzie stała.
Wzór jest następujący:

Wzór na stopę wzrostu dywidendy: g = ROE × f
ROE – stopa zwrotu z kapitału własnego
f – wskaźnik zatrzymania (iloraz zysku zatrzymanego i zysku netto)
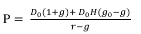
Model dwuetapowy, który jak sama nazwa wskazuje, zbudowany jest z dwóch faz: okresu wzrostu w stałym tempie go, a następnie w stałym tempie g.
Wzór:

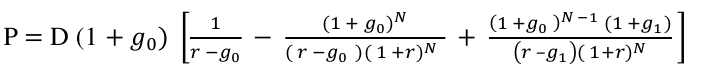
Model H natomiast zakłada, że stopa wzrostu dywidendy na początku okresu będzie spadać liniowo od poziomu g0do g, aby w późniejszym czasie rosnąć w stałym tempie wzrostu g.
Wzór:

H – połowa okresu, w którym następuje spadek liniowy tempa wzrostu dywidendy.
Pozostałe oznaczenia są równoznaczne ze wcześniejszym modelem Gordona
Model trzyetapowy różni się od modelu H tym, że na początku mamy do czynienia z dodatkowym pewnym okresem, w którym stopa dywidendy rośnie w stałym tempie g0, natomiast pozostałe założenia są identyczne, jak w poprzednim modelu.
Przykład wyceny akcji za pomocą modelu zdyskontowanych dywidend: W spółce „ABC” została wypłacona dywidenda w wysokości 7 zł na akcje, wymagana stopa zwrotu oczekiwana przez inwestora wynosi 12%, natomiast stopa wzrostu dywidendy jest stała i wynosi 10%.
Wycenimy akcje przy pomocy modelu Gordona ze względu na stałe tempo wzrostu dywidendy:

Kolejną metodą wyceny jest model oparty na zdyskontowanych wolnych przepływach pieniężnych.
Może on być użyteczny w momencie, kiedy spółka nie stosuje polityki dywidendowej lub wypłaca dywidendę znacznie różniącą się od wolnych przepływów pieniężnych.
W modelu tym przyjęte zostało, że przepływy pieniężne rozumie się jako wolne przepływy pieniężne. Wyróżniamy dwa rodzaje wyceny spółki za pomocą zdyskontowanych wolnych przepływów pieniężnych FCFE oraz FCFF.
Pierwszym rodzajem wyżej wymienionej metody jest FCFE (Free Cash Flow to Equity). Za jego pomocą dokonuje się wyceny kapitału własnego, należnego akcjonariuszom.
Wzór:

Model ten zakłada, że wolny przepływ pieniężny będzie rósł w stałym tempie.
W tym wypadku wzór na wycenę akcji jest następujący:

Przykład:
Posiadamy następujące dane o spółce „ABC”:
Zysk netto 15 mln zł., Wartość inwestycji 5 mln zł., Amortyzacja 3 mln zł., Kapitał obrotowy netto zmniejszył się w okresie roku o 2 mln zł., spółka dodatkowo zaciągnęła dług o wartości 2 mln zł.
Zacznie spłatę za rok. Dodatkowo wiemy, że inwestorzy oczekują wzrostu wartości spółki 10% rocznie i stopy zwrotu z tej inwestycji 15%.
Ilość akcji wyemitowanych przez spółkę 10 mln.
Obliczenie: FCFE = 15 mln zł.+ 3mln zł. –5 mln zł. + 2 mln zł. +2 mln zł. = 17 mln zł.

Ostatnią już omawianą przeze mnie metodą wyceny akcji będzie model wolnych przepływów pieniężnych FCFF( Free Cash Flow to the firm).
Model ten w przeciwieństwie do wcześniej omawianego, zajmuje się wyceną wartości całej firmy.
Wzór:

Aby dokonać wyceny wartości firmy, uzyskany wynik należy podstawić do wzoru:

Przykład:
Posiadamy następujące dane o spółce „ABC”: Zysk operacyjny 40 mln zł., Inwestycje 15 mln zł., Amortyzacja 10 mln zł., Średni ważony koszt kapitału 10 %, podatek dochodowy 19 %,kapitał obrotowy netto wzrósł o 4 mln, inwestorzy oczekują stałego tempa wzrostu przepływów pieniężnych 5% rocznie.

Wartość spółki wyniosła 491,4 mln zł.
W celu dokonania wyceny przypadającej na jedną akcje powinno się znać dodatkowo dług spółki i po pomniejszeniu wartości spółki o dług, podzielić przez ilość wyemitowanych akcji.
Reasumując, wycena akcji jest jednym z ważniejszych czynników wpływających na decyzje inwestycyjne.
Jak nietrudno zauważyć szacowanie wartości akcji w przedstawionych metodach jest zależne od strategii przyjętej przez inwestora oraz od założeń, jakie przyjmuje.
Dlatego też ważne jest, aby przed momentem wyceny dokonać rzetelnej analizy sytuacji zarówno wewnętrznej, jak i otoczenia spółki oraz jej perspektyw rozwoju.
Dlaczego wycena akcji jest ważna?
Wycena akcji jest ważna, ponieważ może być użyta do określenia, czy akcja jest przewartościowana, niedowartościowana, czy jest w cenie rynkowej.
Inwestowanie w spółkę, która jest przewartościowana, wiąże się z ogromnym ryzykiem spadku wartości. Natomiast inwestowanie w spółkę, która jest niedowartościowana, może znacznie zmniejszyć to ryzyko.
Dlatego wycena akcji pozwala na zrozumienie swojego ryzyka.
Podsumowanie
Mimo że nie ma jednego modelu wyceny, który pasowałby do każdej sytuacji, znając charakterystykę spółki, można wybrać model wyceny, który najlepiej pasuje do danej sytuacji.
Dodatkowo inwestorzy nie są ograniczeni do stosowania tylko jednego modelu.
Często dokonują kilku wycen, aby stworzyć zakres możliwych wartości lub uśredniają wszystkie wyceny w jedną.
W przypadku analizy akcji czasami nie jest to kwestia odpowiedniego narzędzia do pracy, ale raczej tego, ile narzędzi zastosujesz, aby uzyskać różne spostrzeżenia na podstawie liczb.
Po dokonaniu właściwej analizy i wyceny można określić cenę akcji i opłacalność inwestycji.
Każdy inwestor oczekuje zwrotu wartości pieniądza w czasie.
Dlatego wycena akcji pozwala na zrozumienie swojego ryzyka. Po określeniu ceny akcji możesz zacząć inwestowanie.
My polecamy sprawdzonego brokera eToro do zakupu swoich pierwszych akcji.
78% kont inwestorów detalicznych odnotowuje straty pieniężne podczas handlu CFD z tym dostawcą.
Twój kapitał jest zagrożony. Obowiązują inne opłaty. Aby uzyskać więcej informacji, odwiedź etoro.com/trading/fees.